Pigmentpunane 176-Corimax Red HF3C
Toote parameetrite loend
| Värviindeks nr | Pigmentpunane 176 |
| Tootenimi | Corimax Red HF3C |
| Tootekategooria | Orgaaniline pigment |
| CASi number | 12225-06-8 |
| EL number | 235-425-2 |
| Keemiline perekond | Bensimidasoloon |
| Molekulmass | 572.57 |
| Molekulaarne valem | C32H24N6O5 |
| PH väärtus | 7 |
| Tihedus | 1.6 |
| Õli imendumine (ml / 100 g)% | 40-60 |
| Kerge vastupidavus (kate) | 6 |
| Kuumuskindlus (kate) | 180 |
| Kerge vastupidavus (plastik) | 6-7 |
| Kuumuskindlus (plastik) | 250 |
| Veekindlus | 5 |
| Õlikindlus | 5 |
| Happekindlus | 5 |
| Leelise vastupidavus | 4-5 |
Värv | ![]() |
| Värvijaotus |
Funktsioonid:
Pigment Punane 176 on särav sinaka varjundiga kõrgtehnoloogiline pigment, millel on suurepärane vastupidavus, kõrge kuumuskindlus, läbipaistev ja migratsioonikindlus.
TDS (pigmentpunane 176) MSDS(Pigment Red 176)Rakendus :
Soovitatav tööstusvärvide, pulbervärvide, trükipastade, PVC, kummi, PS, PP, PE, PU, vesialuseliste tintide, lahustitükkide, UV-tintide jaoks.
Soovitatakse autovärvide, arhitektuurikatete, mähiste, ofsettide jaoks.
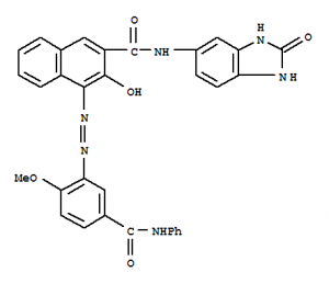
Molekulaarstruktuur:

Füüsilised ja keemilised omadused: sinine ja punane. Valgustugevus on 6. tase. Soojuslik stabiilsus on üle 300 ℃. Orgaaniliste lahustite vastupidavus ulatub 4 kuni 5 klassi ilma migreerumiseta.
Toote kasutamine: kasutatakse peamiselt plastide värvimiseks.
Pigment Punane 176 spetsifikatsioon :
2-naftaleenkarboksamiid, N- (2,3-dihüdro-2-okso-1 H-bensimidasool-5-üül) -3-hüdroksü-4- [2- [2-metoksü-5 - [(fenüülamino) karbonüül] fenüül ] diasenüül] - on orgaaniline ühend valemiga C32H24N6O5. Selle kemikaali süstemaatiline nimetus on 3-hüdroksü-4- [2-metoksü-5- (fenüülkarbamoüül) fenüül] aso-N- (2-okso-1,3-dihüdrobensimidasool-5-üül) naftaleen-2-karboksamiid. CASi registrinumbriga 12225-06-8 nimetatakse seda ka N- (2,3-dihüdro-2-okso-1 H-bensimidasool-5-üül) -3-hüdroksü-4 - [[2-metoksü- 5 - [(fenüülamino) karbonüül] fenüül] aso] naftaleen-2-karboksamiid. Toote kategooria on orgaanika.
2-naftaleenkarboksamiidi, N- (2,3-dihüdro-2-okso-1 H-bensimidasool-5-üül) -3-hüdroksü-4- [2- [2-metoksü-5 - [(fenüülamino) karbonüül) füüsikalised omadused ] fenüül] diasenüül] - on: (1) ACD / LogP: 6,96; (2) # reeglit viiest rikkumisest: 4; (3) ACD / LogD (pH 5,5): 6,95; (4) ACD / LogD (pH 7,4): 6,95; (5) # H-sideme aktsepteerijad: 11; (6) #H-sideme doonorid: 5; (7) #Väga pöörlevad võlakirjad: 8; (8) polaarpind: 153,51 Å2; (9) murdumisnäitaja: 1,721; (10) molaarne murdumisnäitaja: 157,67 cm3; (11) molaarmaht: 398,6 cm3; (12) polaarsus: 62,5 × 10–24 cm3; (13) Pindpinevus: 61 düne / cm; (14) Tihedus: 1,43 g / cm3; (15) Leekpunkt: 357,3 ° C; (16) Aurustumise entalpia: 101,63 kJ / mol; (17) Keemispunkt: 667,2 ° C 760 mmHg juures; (18) Aururõhk: 2,05E – 18 mmHg temperatuuril 25 ° C.










